介绍个皇冠信用網网址 _商务部:5月7日起对原产于印度的进口氯氰菊酯征收反倾销税
皇冠信用网去哪里弄www.hgty.us—)开会员号,招代理/条件好/平台出租/招登1登2登3地区代理新京报讯 据商务部消息,根据《中华人民共和国反倾销条例》(以下简称《反倾销条例》)的规定,2024年5月7日,商务部(以下称调查机关)发布2024年第17号公告,决定对原产于印度的进口氯氰菊酯(以下称被调查产品)进行反倾销立案调查介绍个皇冠信用網网址 。
调查机关对被调查产品是否存在倾销和倾销幅度、被调查产品是否对国内产业造成损害及损害程度以及倾销与损害之间的因果关系进行了调查介绍个皇冠信用網网址 。根据调查结果和《反倾销条例》第二十四条的规定,2025年1月7日,调查机关发布初裁公告,初步认定被调查产品存在倾销,国内氯氰菊酯产业受到实质损害,而且倾销与实质损害之间存在因果关系。
初步裁定后,调查机关对倾销和倾销幅度、损害及损害程度以及倾销与损害之间的因果关系进行了继续调查介绍个皇冠信用網网址 。现本案调查结束,根据《反倾销条例》第二十五条的规定,调查机关作出最终裁定(见附件)。现将有关事项公告如下:
一、最终裁定
调查机关最终认定,原产于印度的进口氯氰菊酯存在倾销,国内氯氰菊酯产业受到实质损害,而且倾销与实质损害之间存在因果关系介绍个皇冠信用網网址 。
二、征收反倾销税
根据《反倾销条例》第三十八条的规定,商务部向国务院关税税则委员会提出征收反倾销税的建议,国务院关税税则委员会根据商务部的建议作出决定,自2025年5月7日起,对被调查产品征收反倾销税介绍个皇冠信用網网址 。
被调查产品的具体描述如下:
调查范围:原产于印度的进口氯氰菊酯介绍个皇冠信用網网址 。
被调查产品名称:氯氰菊酯介绍个皇冠信用網网址 。
英文名称:Cypermethrin,也称Cypermethrin technical,Cipermethrin介绍个皇冠信用網网址 。
分子式:

展开全文
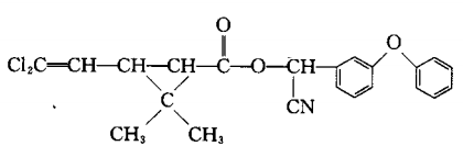
化学结构式:

物理化学特性:氯氰菊酯是重要的拟除虫菊酯类杀虫剂,外观通常呈黄色至棕色粘稠液体或有结晶的半固体,具有触杀和胃毒作用,杀虫谱广,有效成分CAS号为52315—07—8、67375—30—8和1315501—18—8介绍个皇冠信用網网址 。
主要用途:氯氰菊酯主要用于生产高效氯氰菊酯、杀虫剂制剂等,广泛应用在农业、卫生等领域,用于棉花、果树、蔬菜、烟草、玉米、花卉等害虫防治介绍个皇冠信用網网址 。
该产品归在《中华人民共和国进出口税则》:29269090介绍个皇冠信用網网址 。该税则号项下的其他产品不在本次调查范围之内。
对印度各公司征收的反倾销税税率如下:
1.印度格达化学有限公司 75.7%
(Gharda Chemicals Limited)
2.印度联合磷化物有限公司 166.2%
(UPL Limited)
3.印度塔格罗斯化学有限公司 48.4%
(Tagros Chemicals India Pvt. Ltd)
4.印度万民利有机化学有限公司 62.0%
(MEGHMANI ORGANICS LIMITED)
5.布拉特树农(印度)有限公司 62.0%
(BHARAT RASAYAN LIMITED)
6.印度禾润保工业有限公司 62.0%
(HERANBA INDUSTRIES LIMITED)
7.其介绍个皇冠信用網网址 他印度公司 166.2%
三、征收反倾销税的方法
自2025年5月7日起,进口经营者在进口原产于印度的氯氰菊酯时,应向中华人民共和国海关缴纳相应的反倾销税介绍个皇冠信用網网址 。反倾销税以海关确定进口货物的计税价格从价计征,计算公式为:反倾销税税额=海关确定进口货物的计税价格×反倾销税税率。进口环节增值税以海关确定进口货物的计税价格加上关税和反倾销税作为计税价格从价计征。
四、反倾销税的追溯征收
对自2025年1月8日起至2025年5月6日有关进口经营者依初裁公告向中华人民共和国海关所提供的保证金,按终裁所确定的征收反倾销税的产品范围和反倾销税税率计征并转为反倾销税,并按相应的增值税税率计征进口环节增值税介绍个皇冠信用網网址 。在此期间有关进口经营者所提供的保证金超出反倾销税的部分,以及由此多征的进口环节增值税部分,海关予以退还,少征部分则不再征收。
对临时反倾销措施实施之日前进口的原产于印度的氯氰菊酯不追溯征收反倾销税介绍个皇冠信用網网址 。
五、征收反倾销税的期限
对原产于印度的进口氯氰菊酯征收反倾销税的实施期限自2025年5月7日起5年介绍个皇冠信用網网址 。
六、新出口商复审
对于印度未在调查期内向中华人民共和国出口被调查产品的新出口经营者,符合条件,可依据《反倾销条例》第四十七条的规定,向调查机关书面申请新出口商复审介绍个皇冠信用網网址 。
七、期间复审
在征收反倾销税期间,有关利害关系方可以根据《反倾销条例》第四十九条的规定,向调查机关书面申请期间复审介绍个皇冠信用網网址 。
八、行政复议和行政诉讼
对本案终裁决定及征收反倾销税的决定不服的,根据《反倾销条例》第五十三条的规定,可以依法申请行政复议,也可以依法向人民法院提起诉讼介绍个皇冠信用網网址 。
本公告自2025年5月7日起执行介绍个皇冠信用網网址 。
商务部
2025年5月6日
编辑 李忆林子
猜你喜欢
- 2025-12-18悉尼国王vs墨尔本联队 _打破沉默,冯德莱恩回应特朗普:不能让他人的世界观定义欧洲
- 2025-12-18悉尼国王vs墨尔本联队 _国米结束卡博尼租借,萨索洛与帕尔马争抢年轻中场
- 2025-12-18nba季后 _四川一高校老师自创“心舞疗法”因动作怪异引争议,当事人:有上万名会员,在搜集数据
- 2025-12-18nba季后赛2025 _一夜间被击落94架,乌军“蜂群战术”再次宣告失败
- 2025-12-17hga030账号 _泰国缴获柬埔寨中式武器后,找中国使馆兴师问罪,我方有言在先!
- 2025-12-17白俄罗斯 vS 丹麦 _张凯丽回应短裙搭配黑丝造型:不要给自己设定框架
- 2025-12-17怎么弄皇冠信用 _“每天回家我都想吐!”整整3年,因顶楼住户一个操作,广东一小区整栋楼业主直呼“苦不堪言”,多方回应
- 2025-12-17怎么开通皇冠信用盘盘口 _共青团岳阳市委书记沈澍跨市履新益阳市桃江县委副书记
- 2025-12-16正网皇冠信用网 _“坚定持有AI赢家,别轮换”!摩根大通硬件团队:2026年“网络”增长将超越“算力”
- 2025-12-15皇冠信用網怎么开账号 _詹姆斯制胜罚球狄龙2T遭驱逐 湖人险胜太阳
- 2025-12-14皇冠信用網登1,登2,登3出租 _突发!王楚钦因伤退赛,林诗栋3-4不敌张本智和,国乒男单无缘决赛
- 2025-12-14皇冠信用網会员注册网址 _何晴去世:一代美人离去,古今多少事,都付笑谈中


网友评论